Lompat ke konten Lompat ke sidebar Lompat ke footer

Flowchart Array C++ - Programming Fundamentals Arrays Flowchart Wikiversity - In this article, we are going to learn about bubble sort, its algorithm, flow chart and c++ program to implement bubble sort.

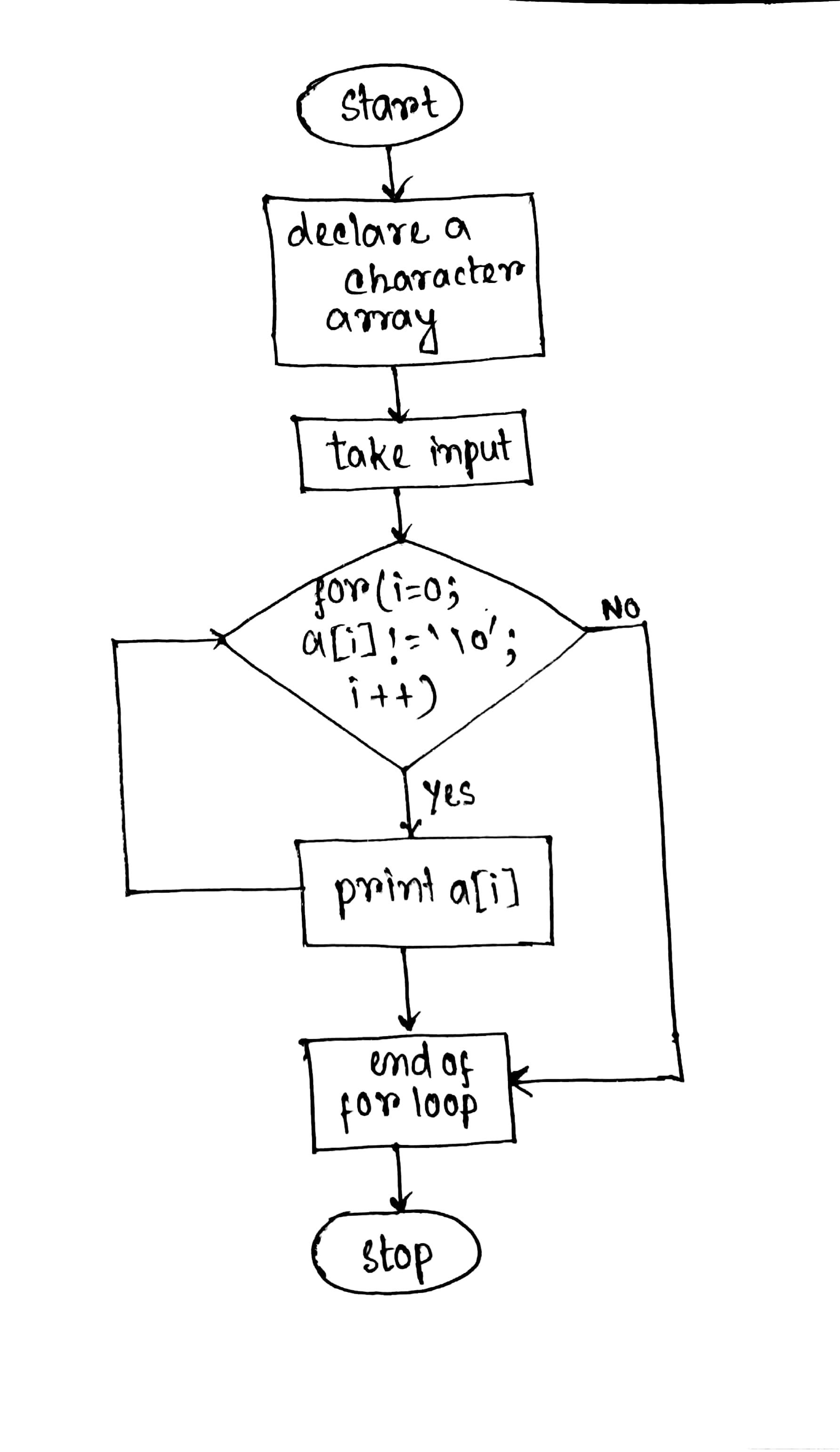
You can use nested loops as you would have used in a 2d matrix. A flowchart is a type of diagram that represents an algorithm, workflow or process. If arrayindex equal to key; Maxmin in a list of integers using array. Screen input/output should be formatted as follows:

Here is what the function header for inputanswers. Two Dimensional Array Matrix Example Flowchart
Two Dimensional Array Matrix Example Flowchart from joycekillian.com
Remember raptor arrays start at 1, but c++ arrays start at 0. Write a program to show the sum of array elements in c plus plus (cpp) and c with the flowchart? A flowchart is a type of diagram that represents an algorithm, workflow or process. Flowchart to find maximum number in an array and minimum number in an array. Enter size of the array: Your class header what input . Interactively generate real code (18+ languages); Maxmin in a list of integers using array.

Write a program to show the sum of array elements in c plus plus (cpp) and c with the flowchart?

Remember raptor arrays start at 1, but c++ arrays start at 0. · set i =lb · repeat steps 3 & 4 · while i Your class header what input . Flowchart of the program to show the sum of array elements. Here is what the function header for inputanswers. If arrayindex equal to key; Enter size of the array: See more ideas about c programming, algorithm, flow chart. Screen input/output should be formatted as follows: While index is less than sizeofarray; In this article, we are going to learn about bubble sort, its algorithm, flow chart and c++ program to implement bubble sort. Write a program to show the sum of array elements in c plus plus (cpp) and c with the flowchart? Flowchart to find maximum number in an array and minimum number in an array.

Flowchart of the program to show the sum of array elements. Here is what the function header for inputanswers. A flowchart is a type of diagram that represents an algorithm, workflow or process. Enter size of the array: You can use nested loops as you would have used in a 2d matrix.

This question hasn't been solved yet. Parallel Arrays And Array Look Up
Parallel Arrays And Array Look Up from elearning.algonquincollege.com
Here is what the function header for inputanswers. Flowchart to find maximum number in an array and minimum number in an array. · set i =lb · repeat steps 3 & 4 · while i Enter size of the array: You can use nested loops as you would have used in a 2d matrix. See more ideas about c programming, algorithm, flow chart. Remember raptor arrays start at 1, but c++ arrays start at 0. Write a program to show the sum of array elements in c plus plus (cpp) and c with the flowchart?

Flowchart to find maximum number in an array and minimum number in an array.

· set i =lb · repeat steps 3 & 4 · while i Flowchart to find maximum number in an array and minimum number in an array. See more ideas about c programming, algorithm, flow chart. A flowchart is a type of diagram that represents an algorithm, workflow or process. Maxmin in a list of integers using array. You can use nested loops as you would have used in a 2d matrix. Write a program to show the sum of array elements in c plus plus (cpp) and c with the flowchart? Your class header what input . If arrayindex equal to key; Interactively generate real code (18+ languages); Flowchart of the program to show the sum of array elements. This question hasn't been solved yet. Enter size of the array:

Maxmin in a list of integers using array. · set i =lb · repeat steps 3 & 4 · while i Interactively generate real code (18+ languages); Flowchart of the program to show the sum of array elements. Your class header what input .

· set i =lb · repeat steps 3 & 4 · while i To Draw Flow Chart C And C Dream In Code
To Draw Flow Chart C And C Dream In Code from www.dreamincode.net
Flowchart to find maximum number in an array and minimum number in an array. Maxmin in a list of integers using array. · set i =lb · repeat steps 3 & 4 · while i If arrayindex equal to key; This question hasn't been solved yet. While index is less than sizeofarray; A flowchart is a type of diagram that represents an algorithm, workflow or process. Enter size of the array:

Flowchart of the program to show the sum of array elements.

If arrayindex equal to key; Flowchart of the program to show the sum of array elements. · set i =lb · repeat steps 3 & 4 · while i Your class header what input . Write a program to show the sum of array elements in c plus plus (cpp) and c with the flowchart? This question hasn't been solved yet. Remember raptor arrays start at 1, but c++ arrays start at 0. Interactively generate real code (18+ languages); While index is less than sizeofarray; A flowchart is a type of diagram that represents an algorithm, workflow or process. See more ideas about c programming, algorithm, flow chart. Here is what the function header for inputanswers. In this article, we are going to learn about bubble sort, its algorithm, flow chart and c++ program to implement bubble sort.

Flowchart Array C++ - Programming Fundamentals Arrays Flowchart Wikiversity - In this article, we are going to learn about bubble sort, its algorithm, flow chart and c++ program to implement bubble sort.. If arrayindex equal to key; See more ideas about c programming, algorithm, flow chart. You can use nested loops as you would have used in a 2d matrix. Remember raptor arrays start at 1, but c++ arrays start at 0. Screen input/output should be formatted as follows:

In this article, we are going to learn about bubble sort, its algorithm, flow chart and c++ program to implement bubble sort flowchart array. Maxmin in a list of integers using array.

Posting Komentar untuk "Flowchart Array C++ - Programming Fundamentals Arrays Flowchart Wikiversity - In this article, we are going to learn about bubble sort, its algorithm, flow chart and c++ program to implement bubble sort."